Mandler 35mm f/2 возрождает классический объектив Leica и предлагает металлический корпус весом 138 г по низкой цене

Объектив Leica Summicron-M 35 mm f/2 Type 4, также известный как "Король боке", до сих пор продается по цене, превышающей $1 000, а в хорошем состоянии некоторые дилеры просят за него более $2 000, ведь он выпускался компанией Leica с 1979 по 1996 год.
Объектив, разработанный инженером-оптиком Leica Уолтером Мандлером, до сих пор пользуется популярностью благодаря своему необычному виду. Китайская компания скопировала этот объектив, и от дизайна корпуса до оптической структуры эта новая версия кажется очень близкой к оригиналу, за исключением того, что реплика предлагается по гораздо более низкой цене. Несмотря на более низкую цену, корпус сделан из алюминия. Объектив имеет длину всего 1,3 дюйма и весит 4,9 унции, также предлагается версия из латуни, которая весит 7,4 унции.
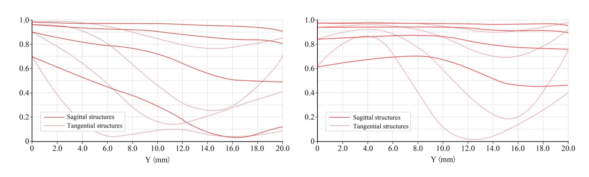
Конструкция из семи элементов в пяти группах была немного обновлена, чтобы обеспечить лучшее качество изображения в паре с цифровыми сенсорами. Однако, как показывают кривые MTF, представленные производителем, объектив, как и оригинал, имеет ярко выраженную кривизну поля, поэтому центр изображения и углы получаются более резкими, чем область между ними. Даже в центре объектив не отличается особой резкостью при использовании широкоугольного объектива.
Цена и наличие
Полнокадровый объектив Mandler 35 mm f/2.0 "7 Elements" уже доступен в интернет-магазине производителя https://mandler.shop/products/mandler-35mm-f2-7-elements-aluminum#product-descriptionс креплением Leica M за $348 или с винтовым креплением LTM за $378. Серебряная версия стоит дополнительно $30, а комплекты аксессуаров, включающие бленду, также доступны за дополнительную плату. Версия для Leica M в настоящее время распродана, но ожидается, что она снова появится в продаже в марте. Доставка из Китая бесплатна, но цены не включают возможные сборы за импорт.

















